Chemical Structure CAT No. CAS Item Group Purity
Sulfuric acid-D2 DP02680 13813-19-9 Stable Isotope reagents =95%
Sulfuric acid-D2
1-Bromo-4-iodo-2,3,5,6-benzene-D4 DP02737 1147565-46-5 Stable Isotope reagents
1-Bromo-4-iodo-2,3,5,6-benzene-D4
3-Bromoaniline-D4 DP02738 81395-17-7 Stable Isotope reagents
3-Bromoaniline-D4
3-Bromonitrobenzene-d4 DP02739 81395-16-6 Stable Isotope reagents
3-Bromonitrobenzene-d4
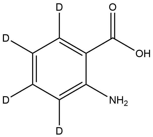
Anthranilic acid-D4 DP02741 60124-83-6 Stable Isotope reagents
Anthranilic acid-D4
Benzaldehyde-D5 DP02742 14132-51-5 Stable Isotope reagents
Benzaldehyde-D5
Chlorobenzene-D5 DP02743 3114-55-4 Stable Isotope reagents
Chlorobenzene-D5
Deuterium Bromide DP02744 13536-59-9 Stable Isotope reagents
Deuterium Bromide
Dimethylamine-d6 HCl DP02745 53170-19-7 Stable Isotope reagents
Dimethylamine-d6 HCl
2-(2-Ethoxyethoxy)ethanol-OD DP02746 37421-08-2 Stable Isotope reagents
2-(2-Ethoxyethoxy)ethanol-OD