Chemical Structure CAT No. CAS Item Group Purity
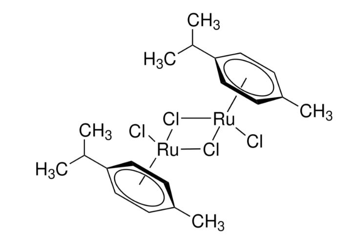
Dichloro(p-cymene)ruthenium(II)dimer DP00009 52462-29-0 Catalyst
Dichloro(p-cymene)ruthenium(II)dimer
Palladium(II) acetate trimer Pd 45.9-48.4% DP00010 3375-31-3 Catalyst
Palladium(II) acetate trimer Pd 45.9-48.4%
Palladium (II) Acetate (Monomer) DP00011 3375-31-3 Catalyst
Palladium (II) Acetate (Monomer)
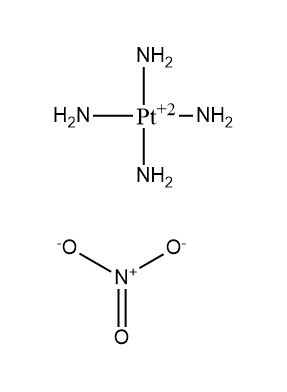
Tetraammineplatinum (II) nitrate DP00012 20634-12-2 Catalyst
Tetraammineplatinum (II) nitrate
20% Palladium Hydroxide on carbon, 50% wet DP00013 12135-22-7 Catalyst
20% Palladium Hydroxide on carbon, 50% wet
Palladium(II) oxide DP00014 1314-08-5 Catalyst
Palladium(II) oxide
10% Iridium On Carbon (Dry) DP00018 7439-88-5 Catalyst
10% Iridium On Carbon (Dry)
5% Palladium on Activated Carbon - Wet form DP00019 7440-05-3 Catalyst
5% Palladium on Activated Carbon - Wet form
5% Platinum on Carbon (Dry) DP00022 7440-06-4 Catalyst
5% Platinum on Carbon (Dry)
20% Platinum on Carbon (wet) DP00023 7440-06-4 Catalyst
20% Platinum on Carbon (wet)